Hello, welcome to
Shanghai Chemlin Biopharmaceutical Co., Ltd
language
Chinese
English
021-68080707
sales@zhaowusoft.com
3927582691
Search
Structure
Popular keywords:
Sucralose
Cefotiam
n-Heptane
Chloroform-d
Martin periodinane
Home
Products
Company Profile
Company Profile
Contact Us
Partners
News
Company News
Media News
Literature
Contact Us
Contact Us
Join Us
Bulk Inquiry
Account
Login
New user?
Register Now
Cart
Organic Compounds
Spirocyclic Compounds
Adamantane Compounds
Sulfur Pentafluoride
Inorganic compound
Inorganic Chemicals
Covalent compounds
Fluorinating Reagents
Fluoro reagents
Fluoromethyl Reagents
Difluoromethyl Reagents
Trifluoromethyl Reagents
Organometallic Reagents
Organoaluminum Reagents
Organogermanium Reagents
Organolithium Reagents
Organozinc Reagents
Organoselenium Reagents
Organocopper Reagents
Organic Stannane
Grignard Reagents
Fluorescent Dyes
Polyaromatic Hydrocarbons
Coumarins
BODIPYs
Cyanines
Xanthenes
Squaric Acids
Isotopes
Deuterated Compounds
Carbon-13
Oxygen18
Nitrogen15
Additive
Food additives
Inhibitors
Founctional materials
OLED
RareEarth Materials
Polymer Monomers
Acrylate Ester
Methacrylate Ester
BioPharm
Active Pharmaceutical Ingredients
Active Pharmaceutical Ingredients
Intermediates
Impurities
Genotoxic Impurities
Reference Listed Drug
Inhibitors
Agonists
Positive Control Substances
Amino Acids
Peptides
Agrichemicals
Insecticide
Fungicide
Herbicide
Biopesticide
Bulk Chemicals
N1-BOC-Piperizine
N1-BOC-Ethylenediamine
Natural Abstracts
Herbal Abstracts
Biological Extracts
Animal Extracts
Microbial Extracts
All
Home
Product Catalog
All
All
Organic Compounds
Inorganic compound
Covalent compounds
Additive
Founctional materials
BioPharm
Agrichemicals
Bulk Chemicals
Natural Abstracts
Picture
Name and Description
Price/Pack Size
Show stock
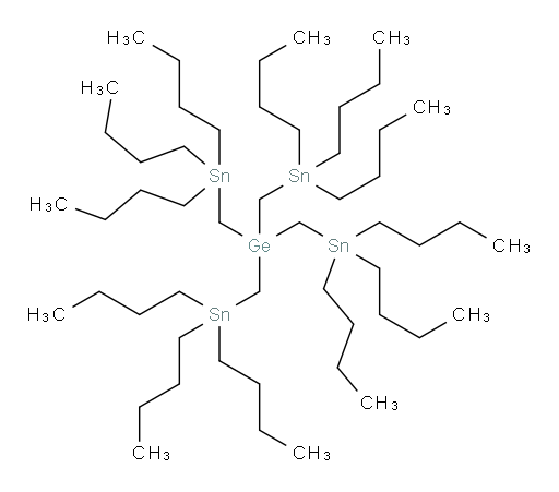
KL-0862062-280
tetrakis((tributylstannyl)methyl)germane
862062-28-0
C
5
2
H
1
1
6
GeSn
4
1288.96
Inquiry
Check stock
KL-0861450-240
(2R,3S)-3-methyl-4-(tributylstannyl)butan-2-ol
861450-24-0
C
1
7
H
3
8
OSn
377.19
Inquiry
Check stock
KL-0860295-405
(2R,3S,5R)-5-(2-amino-6-((3-(trimethylstannyl)benzyl)oxy)-9H-purin-9-yl)-2-(hydroxymethyl)tetrahydrofuran-3-ol
860295-40-5
C
2
0
H
2
7
N
5
O
4
Sn
520.17
Inquiry
Check stock
KL-0857502-217
(S)-methyl 3-(4,5-bis((tert-butoxycarbonyl)oxy)-2-(trimethylstannyl)phenyl)-2-((tert-butoxycarbonyl)amino)propanoate
857502-21-7
C
2
8
H
4
5
NO
1
0
Sn
674.37
Inquiry
Check stock
KL-0858341-272
(S)-1-((diphenyl((R)-(trimethylsilyl)(trimethylstannyl)methyl)silyl)methyl)-2-(methoxymethyl)pyrrolidine
858341-27-2
C
2
6
H
4
3
NOSi
2
Sn
560.51
Inquiry
Check stock
KL-0858341-283
(S)-1-((diphenyl((S)-(trimethylsilyl)(trimethylstannyl)methyl)silyl)methyl)-2-(methoxymethyl)pyrrolidine
858341-28-3
C
2
6
H
4
3
NOSi
2
Sn
560.51
Inquiry
Check stock
KL-0861450-364
(8R,9R)-11,11-dibutyl-9-methyl-8-phenyl-2,5,7-trioxa-11-stannapentadecane
861450-36-4
C
2
6
H
4
8
O
3
Sn
527.37
Inquiry
Check stock
KL-0858370-680
(3-bromo-5,6-dichlorobicyclo[2.2.1]hepta-2,5-dien-2-yl)trimethylstannane
858370-68-0
C
1
0
H
1
3
BrCl
2
Sn
402.73
Inquiry
Check stock
KL-0861450-353
(3R,5R)-5-phenyl-3-((tributylstannyl)methyl)dihydrofuran-2(3H)-one
861450-35-3
C
2
3
H
3
8
O
2
Sn
465.26
Inquiry
Check stock
KL-0861436-308
(Z)-trimethyl(2-(methyldiphenylsilyl)-2-(tributylstannyl)vinyl)silane
861436-30-8
C
3
0
H
5
0
Si
2
Sn
585.6
Inquiry
Check stock
KL-0861450-295
(2R,3S)-methyl 3-hydroxy-3-phenyl-2-((tributylstannyl)methyl)propanoate
861450-29-5
C
2
3
H
4
0
O
3
Sn
483.27
Inquiry
Check stock
KL-0861450-239
tributyl((2R,3R)-3-methoxy-2-methyl-3-phenylpropyl)stannane
861450-23-9
C
2
3
H
4
2
OSn
453.29
Inquiry
Check stock
KL-0861450-251
(2R,3S)-2,4-dimethyl-1-(tributylstannyl)pentan-3-ol
861450-25-1
C
1
9
H
4
2
OSn
405.25
Inquiry
Check stock
KL-0860005-067
(E)-(3-(trimethylstannyl)prop-1-ene-1,3-diyl)bis(trimethylsilane)
860005-06-7
C
1
2
H
3
0
Si
2
Sn
349.25
Inquiry
Check stock
KL-0859873-146
(E)-tributyl(1-(phenylsulfonyl)prop-1-en-2-yl)stannane
859873-14-6
C
2
1
H
3
6
O
2
SSn
471.28
Inquiry
Check stock
KL-0861450-411
(2R,3R)-2,4-dimethyl-1-(tributylstannyl)pentan-3-ol
861450-41-1
C
1
9
H
4
2
OSn
405.25
Inquiry
Check stock
KL-0861450-397
(1S,2R)-2-methyl-1-phenyl-3-(tributylstannyl)propan-1-ol
861450-39-7
C
2
2
H
4
0
OSn
439.26
Inquiry
Check stock
KL-0861450-228
(1R,2R)-2-methyl-1-phenyl-3-(tributylstannyl)propan-1-ol
861450-22-8
C
2
2
H
4
0
OSn
439.26
Inquiry
Check stock
KL-0861450-319
(1S,3R)-3-methyl-1-phenyl-4-(tributylstannyl)butan-1-ol
861450-31-9
C
2
3
H
4
2
OSn
453.29
Inquiry
Check stock
KL-0857349-861
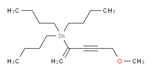
tributyl(5-methoxypent-1-en-3-yn-2-yl)stannane
857349-86-1
C
1
8
H
3
4
OSn
385.17
Inquiry
Check stock
1830
1831
1832
1833
1834
1835
1836
1837
1838
1839
Service
0
Cart
(0)
User
Favorites
Feedback
Top