Hello, welcome to
Shanghai Chemlin Biopharmaceutical Co., Ltd
language
Chinese
English
021-68080707
sales@zhaowusoft.com
3927582691
Search
Structure
Popular keywords:
Sucralose
Cefotiam
n-Heptane
Chloroform-d
Martin periodinane
Home
Products
Company Profile
Company Profile
Contact Us
Partners
News
Company News
Media News
Literature
Contact Us
Contact Us
Join Us
Bulk Inquiry
Account
Login
New user?
Register Now
Cart
Organic Compounds
Spirocyclic Compounds
Adamantane Compounds
Sulfur Pentafluoride
Inorganic compound
Inorganic Chemicals
Covalent compounds
Fluorinating Reagents
Fluoro reagents
Fluoromethyl Reagents
Difluoromethyl Reagents
Trifluoromethyl Reagents
Organometallic Reagents
Organoaluminum Reagents
Organogermanium Reagents
Organolithium Reagents
Organozinc Reagents
Organoselenium Reagents
Organocopper Reagents
Organic Stannane
Grignard Reagents
Fluorescent Dyes
Polyaromatic Hydrocarbons
Coumarins
BODIPYs
Cyanines
Xanthenes
Squaric Acids
Isotopes
Deuterated Compounds
Carbon-13
Oxygen18
Nitrogen15
Additive
Food additives
Inhibitors
Founctional materials
OLED
RareEarth Materials
Polymer Monomers
Acrylate Ester
Methacrylate Ester
BioPharm
Active Pharmaceutical Ingredients
Active Pharmaceutical Ingredients
Intermediates
Impurities
Genotoxic Impurities
Reference Listed Drug
Inhibitors
Agonists
Positive Control Substances
Amino Acids
Peptides
Agrichemicals
Insecticide
Fungicide
Herbicide
Biopesticide
Bulk Chemicals
N1-BOC-Piperizine
N1-BOC-Ethylenediamine
Natural Abstracts
Herbal Abstracts
Biological Extracts
Animal Extracts
Microbial Extracts
All
Home
Product Catalog
All
All
Organic Compounds
Inorganic compound
Covalent compounds
Additive
Founctional materials
BioPharm
Agrichemicals
Bulk Chemicals
Natural Abstracts
Picture
Name and Description
Price/Pack Size
Show stock
KL-0176312-360
tributyl((1E,3Z)-3-(((trifluoromethyl)sulfonyl)methylene)non-1-en-1-yl)stannane
176312-36-0
C
2
3
H
4
3
F
3
O
2
SSn
559.36
Inquiry
Check stock
KL-0176701-012
trimethyl(3-(perfluorophenyl)-1,3-bis(trimethylstannyl)propa-1,2-dien-1-yl)silane
176701-01-2
C
1
8
H
2
7
F
5
SiSn
2
603.9
Inquiry
Check stock
KL-0176701-023
trimethyl(3-(perfluorophenyl)-1,3-bis(trimethylstannyl)propa-1,2-dien-1-yl)germane
176701-02-3
C
1
8
H
2
7
F
5
GeSn
2
648.46
Inquiry
Check stock
KL-0176700-973
(4,4-dimethyl-1-(perfluorophenyl)penta-1,2-dien-1-yl)trimethylstannane
176700-97-3
C
1
6
H
1
9
F
5
Sn
425.02
Inquiry
Check stock
KL-0176506-880
(Z)-tributyl(1,2-difluoro-3,3-dimethylbut-1-en-1-yl)stannane
176506-88-0
C
1
8
H
3
6
F
2
Sn
409.19
Inquiry
Check stock
KL-0176312-495
(E)-tributyl(1-((trifluoromethyl)sulfonyl)oct-1-en-1-yl)stannane
176312-49-5
C
2
1
H
4
1
F
3
O
2
SSn
533.32
Inquiry
Check stock
KL-0176701-034
(3-(perfluorophenyl)propa-1,2-diene-1,1,3-triyl)tris(trimethylstannane)
176701-03-4
C
1
8
H
2
7
F
5
Sn
3
694.53
Inquiry
Check stock
KL-0196410-670
tributyl(4-cyclohexyl-4-(methoxymethoxy)but-1-en-2-yl)stannane
196410-67-0
C
2
4
H
4
8
O
2
Sn
487.35
Inquiry
Check stock
KL-0176312-451
(Z)-tributyl(1-((trifluoromethyl)sulfonyl)oct-1-en-1-yl)stannane
176312-45-1
C
2
1
H
4
1
F
3
O
2
SSn
533.32
Inquiry
Check stock
KL-0176506-879
(Z)-tributyl(1,2-difluoro-3-methylpent-1-en-1-yl)stannane
176506-87-9
C
1
8
H
3
6
F
2
Sn
409.19
Inquiry
Check stock
KL-0176701-001
trimethyl(3-phenyl-1-(trimethylstannyl)propa-1,2-dien-1-yl)germane
176701-00-1
C
1
5
H
2
4
GeSn
395.7
Inquiry
Check stock
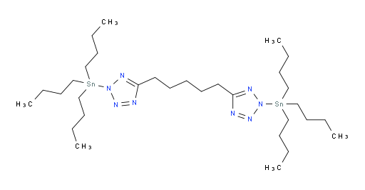
KL-0176509-572
1,6-bis(2-(tributylstannyl)-2H-tetrazol-5-yl)hexane
176509-57-2
C
3
2
H
6
6
N
8
Sn
2
800.34
Inquiry
Check stock
KL-0176509-550
1,4-bis(2-(tributylstannyl)-2H-tetrazol-5-yl)butane
176509-55-0
C
3
0
H
6
2
N
8
Sn
2
772.29
Inquiry
Check stock
KL-0176509-561
1,5-bis(2-(tributylstannyl)-2H-tetrazol-5-yl)pentane
176509-56-1
C
3
1
H
6
4
N
8
Sn
2
786.31
Inquiry
Check stock
KL-0176509-538
1,2-bis(2-(tributylstannyl)-2H-tetrazol-5-yl)ethane
176509-53-8
C
2
8
H
5
8
N
8
Sn
2
744.23
Inquiry
Check stock
KL-0176790-639
(Z)-cycloundec-2-ene-1,2-diylbis(trimethylstannane)
176790-63-9
C
1
7
H
3
6
Sn
2
477.89
Inquiry
Check stock
KL-0176790-571
(E)-cyclonon-2-ene-1,2-diylbis(trimethylstannane)
176790-57-1
C
1
5
H
3
2
Sn
2
449.83
Inquiry
Check stock
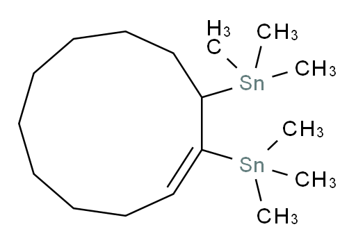
KL-0176790-640
(Z)-cyclotridec-2-ene-1,2-diylbis(trimethylstannane)
176790-64-0
C
1
9
H
4
0
Sn
2
505.94
Inquiry
Check stock
KL-0176506-891
(Z)-tributyl(perfluorobuta-1,3-dien-1-yl)stannane
176506-89-1
C
1
6
H
2
7
F
5
Sn
433.09
Inquiry
Check stock
KL-0176790-606
(E)-cyclodec-2-ene-1,2-diylbis(trimethylstannane)
176790-60-6
C
1
6
H
3
4
Sn
2
463.86
Inquiry
Check stock
2224
2225
2226
2227
2228
2229
2230
2231
2232
2233
Service
0
Cart
(0)
User
Favorites
Feedback
Top