Hello, welcome to
Shanghai Chemlin Biopharmaceutical Co., Ltd
language
Chinese
English
021-68080707
sales@zhaowusoft.com
3927582691
Search
Structure
Popular keywords:
Sucralose
Cefotiam
n-Heptane
Chloroform-d
Martin periodinane
Home
Products
Company Profile
Company Profile
Contact Us
Partners
News
Company News
Media News
Literature
Contact Us
Contact Us
Join Us
Bulk Inquiry
Account
Login
New user?
Register Now
Cart
Organic Compounds
Spirocyclic Compounds
Adamantane Compounds
Sulfur Pentafluoride
Inorganic compound
Inorganic Chemicals
Covalent compounds
Fluorinating Reagents
Fluoro reagents
Fluoromethyl Reagents
Difluoromethyl Reagents
Trifluoromethyl Reagents
Organometallic Reagents
Organoaluminum Reagents
Organogermanium Reagents
Organolithium Reagents
Organozinc Reagents
Organoselenium Reagents
Organocopper Reagents
Organic Stannane
Grignard Reagents
Fluorescent Dyes
Polyaromatic Hydrocarbons
Coumarins
BODIPYs
Cyanines
Xanthenes
Squaric Acids
Isotopes
Deuterated Compounds
Carbon-13
Oxygen18
Nitrogen15
Additive
Food additives
Inhibitors
Founctional materials
OLED
RareEarth Materials
Polymer Monomers
Acrylate Ester
Methacrylate Ester
BioPharm
Active Pharmaceutical Ingredients
Active Pharmaceutical Ingredients
Intermediates
Impurities
Genotoxic Impurities
Reference Listed Drug
Inhibitors
Agonists
Positive Control Substances
Amino Acids
Peptides
Agrichemicals
Insecticide
Fungicide
Herbicide
Biopesticide
Bulk Chemicals
N1-BOC-Piperizine
N1-BOC-Ethylenediamine
Natural Abstracts
Herbal Abstracts
Biological Extracts
Animal Extracts
Microbial Extracts
All
Home
Product Catalog
All
All
Organic Compounds
Inorganic compound
Covalent compounds
Additive
Founctional materials
BioPharm
Agrichemicals
Bulk Chemicals
Natural Abstracts
Picture
Name and Description
Price/Pack Size
Show stock
KL-0119649-671
tributyl(3-((tetrahydro-2H-pyran-2-yl)oxy)prop-1-en-2-yl)stannane
119649-67-1
C
2
0
H
4
0
O
2
Sn
431.24
Inquiry
Check stock
KL-0120133-520
tert-butyldimethyl((4-(trimethylstannyl)but-3-yn-1-yl)oxy)silane
120133-52-0
C
1
3
H
2
8
OSiSn
347.16
Inquiry
Check stock
KL-0119968-820
1,1,1-tributyl-N-(1,1,2,2,2-pentamethyldisilyl)stannanecarboximidamide
119968-82-0
C
1
8
H
4
4
N
2
Si
2
Sn
463.44
Inquiry
Check stock
KL-0119968-819
N-(1,1,2,2,2-pentamethyldisilyl)-N-(tributylstannyl)cyanamide
119968-81-9
C
1
8
H
4
2
N
2
Si
2
Sn
461.42
Inquiry
Check stock
KL-0119841-542
trimethyl((2'-methyl-[1,1'-binaphthalen]-2-yl)methyl)stannane
119841-54-2
C
2
5
H
2
6
Sn
445.18
Inquiry
Check stock
KL-0119703-752
(chloromethyl)dimethyl(((tributylstannyl)oxy)methyl)germane
119703-75-2
C
1
6
H
3
7
ClGeOSn
472.27
Inquiry
Check stock
KL-0120120-221
4,4'-bis((trimethylstannyl)ethynyl)-1,1'-biphenyl
120120-22-1
C
2
2
H
2
6
Sn
2
527.86
Inquiry
Check stock
KL-0119859-562
tributyl((4-nitrophenyl)(phenyl)methoxy)stannane
119859-56-2
C
2
5
H
3
7
NO
3
Sn
518.28
Inquiry
Check stock
KL-0119649-717
(E)-tributyl(3-phenoxyprop-1-en-1-yl)stannane
119649-71-7
C
2
1
H
3
6
OSn
423.22
Inquiry
Check stock
KL-0119649-706
tributyl(3-phenoxyprop-1-en-2-yl)stannane
119649-70-6
C
2
1
H
3
6
OSn
423.22
Inquiry
Check stock
KL-0119841-484
tributyl((4-chlorophenyl)(phenyl)methoxy)stannane
119841-48-4
C
2
5
H
3
7
ClOSn
507.72
Inquiry
Check stock
KL-0119966-700
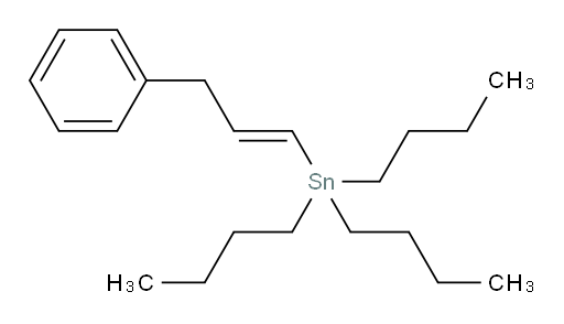
(E)-tributyl(3-phenylprop-1-en-1-yl)stannane
119966-70-0
C
2
1
H
3
6
Sn
407.22
Inquiry
Check stock
KL-0119841-508
tributyl((4-methoxyphenyl)(phenyl)methoxy)stannane
119841-50-8
C
2
6
H
4
0
O
2
Sn
503.3
Inquiry
Check stock
KL-0119649-660
dimethyl 2-(tributylstannyl)fumarate
119649-66-0
C
1
8
H
3
4
O
4
Sn
433.17
Inquiry
Check stock
KL-0119841-495
tributyl(phenyl(p-tolyl)methoxy)stannane
119841-49-5
C
2
6
H
4
0
OSn
487.31
Inquiry
Check stock
KL-0120108-896
(E)-hexa-3,5-dien-1-yltrimethylstannane
120108-89-6
C
9
H
1
8
Sn
244.95
Inquiry
Check stock
KL-0120086-126
thiophen-2-yl(tributylstannyl)methanone
120086-12-6
C
1
7
H
3
0
OSSn
401.19
Inquiry
Check stock
KL-0119813-604
2-((tributylstannyl)methyl)acrylonitrile
119813-60-4
C
1
6
H
3
1
NSn
356.13
Inquiry
Check stock
KL-0119704-608
(3,4-dichlorophenyl)trimethylstannane
119704-60-8
C
9
H
1
2
Cl
2
Sn
309.81
Inquiry
Check stock
KL-0120086-115
furan-2-yl(trimethylstannyl)methanone
120086-11-5
C
8
H
1
2
O
2
Sn
258.89
Inquiry
Check stock
2534
2535
2536
2537
2538
2539
2540
2541
2542
2543
Service
0
Cart
(0)
User
Favorites
Feedback
Top