您好,欢迎来到
上海康满林生物医药有限公司
语言
中文
English
021-68080707
sales2@chemlin.com.cn
2851865938
搜索
结构式
热门关键词:
戴斯-马丁试剂
氘代丙酮
头孢替安
2-羟基-4-硝基苄醇
穿心莲内酯
首页
产品目录
关于康满林
关于我们
联系我们
合作伙伴
新闻中心
企业新闻
媒体资讯
文献期刊
联系我们
联系我们
招贤纳士
大包装询价
账号
登录
新用户?
立即注册
购物车
有机砌块化合物
螺环系列化合物
金刚烷系列化合物
五氟化硫系列化合物
无机化合物
无机盐
特殊试剂
氟代试剂
单氟代试剂
氟甲基试剂
二氟甲基试剂
三氟甲基试剂
有机金属试剂
有机铝试剂
有机锗试剂
有机锂试剂
有机锌试剂
有机硒试剂
有机铜试剂
有机锡试剂&产品
格氏试剂
生物莹光染料试剂
多环芳烃
香豆素类
氟硼二吡咯染料
花菁类
氧杂蒽类莹光染料
方酸类
同位素试剂
氘代试剂
碳13同位素
氧18同位素
氮15同位素
添加剂
食品添加剂
阻聚剂
功能材料
金属材料
光电材料
稀土材料
高分子材料单体
丙烯酸酯
甲基丙烯酸酯
生物医药
化学药
原料药
中间体
药物杂质
基因毒杂质
参比制剂
抑制剂
激动剂
阳性对照品
氨基酸
多肽
农药
杀虫剂
杀菌剂
除草剂
生物农药
大宗生产化学品
N1-BOC-哌嗪
N-BOC-乙二胺
天然提取物
植物提取物
生物提取物
动物提取物
微生物提取物
特殊试剂
首页
产品目录
特殊试剂
全部
有机砌块化合物
无机化合物
特殊试剂
添加剂
功能材料
生物医药
农药
大宗生产化学品
天然提取物
KL-2094983-012
1,8-双((8-辛基-2,6-双(三丁基锡基)苯并[1,2-b:4,5-b']二噻吩-4-氧基))辛烷
2094983-01-2
需询价
KL-2094983-023
(4-辛基-8-(辛氧基)苯并[1,2-b:4,5-b']二噻吩-2,6-二基)双(三丁基锡烷)
2094983-02-3
需询价
KL-2097505-263
(5,5'-(3,6-双(5-己基噻吩-2-基)噻吩并[3,2-b]噻吩-2,5-二基)双(噻吩-5,2-二基))双(三丁基锡烷)
2097505-26-3
需询价
KL-2079045-615
(3,3''-双(2-乙基己基)-[2,2':5',2''-三联噻吩]-5,5''-二基)双(三甲基锡烷)
2079045-61-5
需询价
KL-2098784-633
双(1,3-二异丙基-1H-咪唑-2(3H)-亚基)双(三丁基锡基)铁
2098784-63-3
需询价
KL-2098784-622
双(1,3-二甲基-1H-咪唑-2(3H)-亚基)双(三丁基锡基)铁
2098784-62-2
需询价
KL-2092483-548
3-((4''-(三丁基锡基)-[1,1':4',1''-三联苯]-4-基)硫基)丙腈
2092483-54-8
需询价
KL-2088542-441
2088542-44-1
需询价
KL-2097161-005
2097161-00-5
需询价
KL-2144791-444
(S)-(1R,2R,E)-2-((叔丁基二甲基sil氧基))-1-苯基-4-(三丁基锡基)丁-3-烯-1-基 2-((R)-3-(4-((叔丁基二甲基sil氧基))-3-甲氧基苯基)-2-((2R,3R,4E,9R,10E)-3-羟基-11-碘-9-甲氧基-N,2,4,10-四甲基十一-4,10-二烯乙酰胺基)丙酰胺基)-3-甲基丁酸酯
2144791-44-4
需询价
KL-2144791-433
(S)-(1R,2R,E)-2-((叔丁基二甲基sil氧基))-1-苯基-4-(三丁基锡基)丁-3-烯-1-基 2-((R)-2-((((9H-芴-9-基)甲氧基)羰基)(甲基)氨基)-3-(4-((叔丁基二甲基sil氧基))-3-甲氧基苯基)丙酰胺基)-3-甲基丁酸酯
2144791-43-3
需询价
KL-2139233-104
(4S,6S)-2,2,5,5,8,8,9,9-八甲基-6-((E)-丙烯-1-基)-4-((Z)-3-((2S,3R)-3-((E)-2-(三丁基锡基)乙烯基)环氧乙烷-2-基)烯丙基)-3,7-二氧杂-2,8-二硅杂癸烷
2139233-10-4
需询价
KL-2144791-331
(S)-(1R,2R,E)-2-((叔丁基二甲基sil氧基))-1-苯基-4-(三丁基锡基)丁-3-烯-1-基 2-((R)-3-(4-((叔丁基二甲基sil氧基))-3-甲氧基苯基)-2-(甲氨基)丙酰胺基)-3-甲基丁酸酯
2144791-33-1
需询价
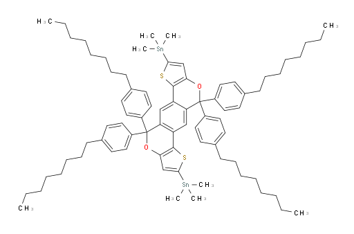
KL-2127830-184
(5,5,11,11-四(4-辛基苯基)-5,11-二氢噻吩并[2',3':5,6]吡喃并[3,4-g]噻吩并[3,2-c]异色烯-2,8-二基)双(三甲基锡烷)
2127830-18-4
需询价
KL-2153473-186
(4,9-双(双(5-(2-乙基己基)噻吩-2-基)亚甲基)-4,9-二氢-s-茚并[1,2-b:5,6-b']二噻吩-2,7-二基)双(三丁基锡烷)
2153473-18-6
需询价
KL-2129529-468
(4,4,9,9-四(3-氟-4-(己氧基)苯基)-4,9-二氢-s-茚并[1,2-b:5,6-b']二噻吩-2,7-二基)双(三甲基锡烷)
2129529-46-8
需询价
KL-2152622-427
(4,8-双(3-氟-4-((2-辛基十二烷基)氧基)苯基)苯并[1,2-b:4,5-b']二噻吩-2,6-二基)双(三甲基锡烷)
2152622-42-7
需询价
KL-2142584-038
((5,5'-(2,6-双(三甲基锡基)苯并[1,2-b:4,5-b']二噻吩-4,8-二基)双(噻吩-5,2-二基))双(乙炔-2,1-二基))双(三异丙基硅烷)
2142584-03-8
需询价
KL-2152622-438
(4,8-双(2-氟-4-((2-辛基十二烷基)氧基)苯基)苯并[1,2-b:4,5-b']二噻吩-2,6-二基)双(三甲基锡烷)
2152622-43-8
需询价
KL-2129529-457
(4,4,9,9-四(4-(己氧基)苯基)-4,9-二氢-s-茚并[1,2-b:5,6-b']二噻吩-2,7-二基)双(三甲基锡烷)
2129529-45-7
需询价
712
713
714
715
716
717
718
719
720
721
在线客服
0
购物车
(0)
会员中心
我的收藏
反馈建议
返回顶部