Hello, welcome to
Shanghai Chemlin Biopharmaceutical Co., Ltd
language
Chinese
English
021-68080707
sales2@chemlin.com.cn
2851865938
Search
Structure
Popular keywords:
Sucralose
Cefotiam
n-Heptane
Chloroform-d
Martin periodinane
Home
Products
Company Profile
Company Profile
Contact Us
Partners
News
Company News
Media News
Literature
Contact Us
Contact Us
Join Us
Bulk Inquiry
Account
Login
New user?
Register Now
Cart
Organic Compounds
Spirocyclic Compounds
Adamantane Compounds
Sulfur Pentafluoride
Inorganic compound
Inorganic Chemicals
Covalent compounds
Fluorinating Reagents
Fluoro reagents
Fluoromethyl Reagents
Difluoromethyl Reagents
Trifluoromethyl Reagents
Organometallic Reagents
Organoaluminum Reagents
Organogermanium Reagents
Organolithium Reagents
Organozinc Reagents
Organoselenium Reagents
Organocopper Reagents
Organic Stannane
Grignard Reagents
Fluorescent Dyes
Polyaromatic Hydrocarbons
Coumarins
BODIPYs
Cyanines
Xanthenes
Squaric Acids
Isotopes
Deuterated Compounds
Carbon-13
Oxygen18
Nitrogen15
Additive
Food additives
Inhibitors
Founctional materials
OLED
RareEarth Materials
Polymer Monomers
Acrylate Ester
Methacrylate Ester
Epoxy specialty resin monomer
BioPharm
Active Pharmaceutical Ingredients
Active Pharmaceutical Ingredients
Intermediates
Impurities
Genotoxic Impurities
Reference Listed Drug
Inhibitors
Agonists
Positive Control Substances
Amino Acids
Peptides
Agrichemicals
Insecticide
Fungicide
Herbicide
Biopesticide
Bulk Chemicals
N1-BOC-Piperizine
N1-BOC-Ethylenediamine
Natural Abstracts
Herbal Abstracts
Biological Extracts
Animal Extracts
Microbial Extracts
Organometallic Reagents
Home
Product Catalog
Covalent compounds
Organometallic Reagents
All
Fluorinating Reagents
Organometallic Reagents
Grignard Reagents
Fluorescent Dyes
Isotopes
Picture
Name and Description
Price/Pack Size
Show stock
KL-2275748-008
(4-(5-((2-decyltetradecyl)thio)thiophen-2-yl)-8-(4-(hexyloxy)phenyl)benzo[1,2-b:4,5-b']dithiophene-2,6-diyl)bis(trimethylstannane)
2275748-00-8
C
5
6
H
8
8
OS
4
Sn
2
1142.98
Inquiry
Check stock
KL-2280923-999
(4-(4-chloro-5-(2-ethylhexyl)thiophen-2-yl)-8-(4-((2-ethylhexyl)oxy)phenyl)benzo[1,2-b:4,5-b']dithiophene-2,6-diyl)bis(trimethylstannane)
2280923-99-9
C
4
2
H
5
9
ClOS
3
Sn
2
948.99
Inquiry
Check stock
KL-2280923-944
(4-(4-((2-ethylhexyl)oxy)phenyl)-8-(5-(2-ethylhexyl)thiophen-2-yl)benzo[1,2-b:4,5-b']dithiophene-2,6-diyl)bis(trimethylstannane)
2280923-94-4
C
4
2
H
6
0
OS
3
Sn
2
914.54
Inquiry
Check stock
KL-2280924-005
(4-(3,4-dichloro-5-(2-ethylhexyl)thiophen-2-yl)-8-(4-((2-ethylhexyl)oxy)phenyl)benzo[1,2-b:4,5-b']dithiophene-2,6-diyl)bis(trimethylstannane)
2280924-00-5
C
4
2
H
5
8
Cl
2
OS
3
Sn
2
983.43
Inquiry
Check stock
KL-2290617-397
(3',3'',4',4''-tetrafluoro-3,3'''-bis(2-octyldodecyl)-[2,2':5',2'':5'',2'''-quaterthiophene]-5,5'''-diyl)bis(trimethylstannane)
2290617-39-7
C
6
2
H
1
0
2
F
4
S
4
Sn
2
1289.15
Inquiry
Check stock
KL-2290612-007
(3,3'-bis((2-ethylhexyl)oxy)-[2,2'-bithiophene]-5,5'-diyl)bis(tributylstannane)
2290612-00-7
C
4
8
H
9
0
O
2
S
2
Sn
2
1000.78
Inquiry
Check stock
KL-2286329-095
trimethyl(3,4',5''-trioctyl-[2,2':5',2''-terthiophen]-5-yl)stannane
2286329-09-5
C
3
9
H
6
4
S
3
Sn
747.83
Inquiry
Check stock
KL-2291200-592
(2R,3R,4R)-2-methyl-6-(tributylstannyl)-3,4-dihydro-2H-pyran-3,4-diol
2291200-59-2
C
1
8
H
3
6
O
3
Sn
419.19
Inquiry
Check stock
KL-2294952-604
(4-chloro-5-(5-(trimethylstannyl)selenophen-2-yl)thiophen-2-yl)trimethylstannane
2294952-60-4
C
1
4
H
2
1
ClSSeSn
2
573.21
Inquiry
Check stock
KL-2292111-409
1,3,6,8-tetrakis(trimethylstannyl)pyrene
2292111-40-9
C
2
8
H
4
2
Sn
4
853.47
Inquiry
Check stock
KL-2294952-615
trimethyl(5-(5-(trimethylstannyl)selenophen-2-yl)thiophen-2-yl)stannane
2294952-61-5
C
1
4
H
2
2
SSeSn
2
538.77
Inquiry
Check stock
KL-2295733-638
7a-hydroxy-9-(trimethylstannyl)-3a,4-dihydro-1H-1,4-ethenoindene-3,7(2H,7aH)-dione
2295733-63-8
C
1
4
H
1
8
O
3
Sn
353
Inquiry
Check stock
KL-2300174-063
(5,5,10,10-tetrakis(4-(octyloxy)phenyl)-5,10-dihydro-s-indaceno[2,1-b:6,5-b']dithiophene-2,7-diyl)bis(trimethylstannane)
2300174-06-3
C
7
8
H
1
0
6
O
4
S
2
Sn
2
1409.22
Inquiry
Check stock
KL-2295753-885
tert-butyldimethyl(((2S,3S)-2-methyl-3-((S,E)-4-(tributylstannyl)but-3-en-2-yl)oxiran-2-yl)methoxy)silane
2295753-88-5
C
2
6
H
5
4
O
2
SiSn
545.5
Inquiry
Check stock
KL-2295733-729
7a-hydroxy-5,9-bis(trimethylstannyl)-3a,4-dihydro-1H-1,4-ethenoindene-3,7(2H,7aH)-dione
2295733-72-9
C
1
7
H
2
6
O
3
Sn
2
515.81
Inquiry
Check stock
KL-2304768-678
5,5-bis((hexyloxy)methyl)-2,2-dimethyl-1,3-bis(5-(tributylstannyl)thiophen-2-yl)-2,4,5,6-tetrahydrocyclopenta[c]silole
2304768-67-8
C
5
5
H
9
8
O
2
S
2
SiSn
2
1121
Inquiry
Check stock
KL-2304029-216
bis(3,7-dimethyloctyl) 2,6-bis(trimethylstannyl)benzo[1,2-b:4,5-b']dithiophene-4,8-dicarboxylate
2304029-21-6
C
3
8
H
6
2
O
4
S
2
Sn
2
884.45
Inquiry
Check stock
KL-2304768-623
(5,5'-(4,4-bis((hexyloxy)methyl)hepta-1,6-diyne-1,7-diyl)bis(thiophene-5,2-diyl))bis(tributylstannane)
2304768-62-3
C
5
3
H
9
2
O
2
S
2
Sn
2
1062.85
Inquiry
Check stock
KL-2305659-690
2,7-bis(5-(2-ethylhexyl)-5'-(trimethylstannyl)-[2,3'-bithiophen]-2'-yl)naphtho[1,2-b:5,6-b']dithiophene
2305659-69-0
C
5
2
H
6
4
S
6
Sn
2
1118.87
Inquiry
Check stock
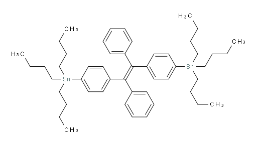
KL-2305702-547
(E)-1,2-diphenyl-1,2-bis(4-(tributylstannyl)phenyl)ethene
2305702-54-7
C
5
0
H
7
2
Sn
2
910.53
Inquiry
Check stock
209
210
211
212
213
214
215
216
217
218
Service
0
Cart
(0)
User
Favorites
Feedback
Top