Hello, welcome to
Shanghai Chemlin Biopharmaceutical Co., Ltd
language
Chinese
English
021-68080707
sales2@chemlin.com.cn
2851865938
Search
Structure
Popular keywords:
Sucralose
Cefotiam
n-Heptane
Chloroform-d
Martin periodinane
Home
Products
Company Profile
Company Profile
Contact Us
Partners
News
Company News
Media News
Literature
Contact Us
Contact Us
Join Us
Bulk Inquiry
Account
Login
New user?
Register Now
Cart
Organic Compounds
Spirocyclic Compounds
Adamantane Compounds
Sulfur Pentafluoride
Inorganic compound
Inorganic Chemicals
Covalent compounds
Fluorinating Reagents
Fluoro reagents
Fluoromethyl Reagents
Difluoromethyl Reagents
Trifluoromethyl Reagents
Organometallic Reagents
Organoaluminum Reagents
Organogermanium Reagents
Organolithium Reagents
Organozinc Reagents
Organoselenium Reagents
Organocopper Reagents
Organic Stannane
Grignard Reagents
Fluorescent Dyes
Polyaromatic Hydrocarbons
Coumarins
BODIPYs
Cyanines
Xanthenes
Squaric Acids
Isotopes
Deuterated Compounds
Carbon-13
Oxygen18
Nitrogen15
Additive
Food additives
Inhibitors
Founctional materials
OLED
RareEarth Materials
Polymer Monomers
Acrylate Ester
Methacrylate Ester
Epoxy specialty resin monomer
BioPharm
Active Pharmaceutical Ingredients
Active Pharmaceutical Ingredients
Intermediates
Impurities
Genotoxic Impurities
Reference Listed Drug
Inhibitors
Agonists
Positive Control Substances
Amino Acids
Peptides
Agrichemicals
Insecticide
Fungicide
Herbicide
Biopesticide
Bulk Chemicals
N1-BOC-Piperizine
N1-BOC-Ethylenediamine
Natural Abstracts
Herbal Abstracts
Biological Extracts
Animal Extracts
Microbial Extracts
Organometallic Reagents
Home
Product Catalog
Covalent compounds
Organometallic Reagents
All
Fluorinating Reagents
Organometallic Reagents
Grignard Reagents
Fluorescent Dyes
Isotopes
Picture
Name and Description
Price/Pack Size
Show stock
KL-2982803-541
di-tert-butyl 2,2'-((3-(6-phenyl-1,2,4,5-tetrazin-3-yl)-5-(trimethylstannyl)benzyl)azanediyl)diacetate
2982803-54-1
C
3
0
H
4
1
N
5
O
4
Sn
654.39
Inquiry
Check stock
KL-2982803-529
tert-butyl 2-((tert-butoxycarbonyl)(3-(6-phenyl-1,2,4,5-tetrazin-3-yl)-5-(trimethylstannyl)benzyl)amino)acetate
2982803-52-9
C
2
9
H
3
9
N
5
O
4
Sn
640.36
Inquiry
Check stock
KL-2984549-553
(5,5'-(4,8-bis(5-(2-ethylhexyl)-4-fluorothiophen-2-yl)benzo[1,2-b:4,5-b']dithiophene-2,6-diyl)bis(thiophene-5,2-diyl))bis(trimethylstannane)
2984549-55-3
C
4
8
H
6
0
F
2
S
6
Sn
2
1104.8
Inquiry
Check stock
KL-2983055-032
(4,8-bis(5-decyl-4-fluorothiophen-2-yl)benzo[1,2-b:4,5-b']dithiophene-2,6-diyl)bis(trimethylstannane)
2983055-03-2
C
4
4
H
6
4
F
2
S
4
Sn
2
996.66
Inquiry
Check stock
KL-2983055-123
tert-butyl bis(3-(5-(trimethylstannyl)thiophen-2-yl)propyl)carbamate
2983055-12-3
C
2
5
H
4
3
NO
2
S
2
Sn
2
691.16
Inquiry
Check stock
KL-2997632-569
(4,8-bis(5-(2-ethyloctyl)thiophen-2-yl)benzo[1,2-b:4,5-b']dithiophene-2,6-diyl)bis(trimethylstannane)
2997632-56-9
C
4
4
H
6
6
S
4
Sn
2
960.67
Inquiry
Check stock
KL-2991113-870
(3-(4-methoxyphenyl)thieno[3,2-b]thiophene-2,5-diyl)bis(trimethylstannane)
2991113-87-0
C
1
9
H
2
6
OS
2
Sn
2
571.96
Inquiry
Check stock
KL-2995295-537
(3-dodecyl-[2,2'-bithiophene]-5,5'-diyl)bis(trimethylstannane)
2995295-53-7
C
2
6
H
4
6
S
2
Sn
2
660.19
Inquiry
Check stock
KL-3004525-645
(4-(bis(methylthio)methylene)-4H-cyclopenta[1,2-b:5,4-b']dithiophene-2,6-diyl)bis(trimethylstannane)
3004525-64-5
C
1
8
H
2
6
S
4
Sn
2
608.08
Inquiry
Check stock
KL-3004525-612
(4-(propan-2-ylidene)-4H-cyclopenta[1,2-b:5,4-b']dithiophene-2,6-diyl)bis(trimethylstannane)
3004525-61-2
C
1
8
H
2
6
S
2
Sn
2
543.95
Inquiry
Check stock
KL-3004525-678
(4-(bis(propylthio)methylene)-4H-cyclopenta[1,2-b:5,4-b']dithiophene-2,6-diyl)bis(trimethylstannane)
3004525-67-8
C
2
2
H
3
4
S
4
Sn
2
664.19
Inquiry
Check stock
KL-3004525-703
(4,4,9,9-tetramethyl-4,9-dihydro-s-indaceno[1,2-b:5,6-b']dithiophene-2,7-diyl)bis(trimethylstannane)
3004525-70-3
C
2
6
H
3
4
S
2
Sn
2
648.1
Inquiry
Check stock
KL-3011694-155
(4,4-bis(5-(trimethylstannyl)thiophen-2-yl)-4H-germolo[3,2-b:4,5-b']dithiophene-2,6-diyl)bis(trimethylsilane)
3011694-15-5
C
2
8
H
4
2
GeS
4
Si
2
Sn
2
873.12
Inquiry
Check stock
KL-3022412-194
N,N-bis(4-methoxyphenyl)-4,8-diphenyl-6-(trimethylstannyl)benzo[1,2-b:4,5-b']dithiophen-2-amine
3022412-19-4
C
3
9
H
3
5
NO
2
S
2
Sn
732.54
Inquiry
Check stock
KL-3011694-188
(4,4-bis(3-(trimethylstannyl)phenyl)-4H-germolo[3,2-b:4,5-b']dithiophene-2,6-diyl)bis(trimethylsilane)
3011694-18-8
C
3
2
H
4
6
GeS
2
Si
2
Sn
2
861.07
Inquiry
Check stock
KL-3022412-387
4,8-bis((2-ethylhexyl)oxy)-N,N-bis(4-methoxyphenyl)-6-(trimethylstannyl)benzo[1,2-b:4,5-b']dithiophen-2-amine
3022412-38-7
C
4
3
H
5
9
NO
4
S
2
Sn
836.77
Inquiry
Check stock
KL-3024102-777
(4-((2-decyltetradecyl)oxy)-8-(naphthalen-1-yl)benzo[1,2-b:4,5-b']dithiophene-2,6-diyl)bis(trimethylstannane)
3024102-77-7
C
5
0
H
7
6
OS
2
Sn
2
994.69
Inquiry
Check stock
KL-3023991-490
(3,4-difluorofuran-2,5-diyl)bis(trimethylstannane)
3023991-49-0
C
1
0
H
1
8
F
2
OSn
2
429.67
Inquiry
Check stock
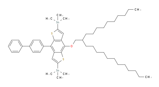
KL-3024102-880
(4-([1,1'-biphenyl]-4-yl)-8-((2-decyltetradecyl)oxy)benzo[1,2-b:4,5-b']dithiophene-2,6-diyl)bis(trimethylstannane)
3024102-88-0
C
5
2
H
7
8
OS
2
Sn
2
1020.73
Inquiry
Check stock
KL-3024102-959
(4-((2-decyltetradecyl)oxy)-8-(5-phenylthiophen-2-yl)benzo[1,2-b:4,5-b']dithiophene-2,6-diyl)bis(trimethylstannane)
3024102-95-9
C
5
0
H
7
6
OS
3
Sn
2
1026.75
Inquiry
Check stock
239
240
241
242
243
244
245
246
247
248
Service
0
Cart
(0)
User
Favorites
Feedback
Top