Hello, welcome to
Shanghai Chemlin Biopharmaceutical Co., Ltd
language
Chinese
English
021-68080707
sales2@chemlin.com.cn
2851865938
Search
Structure
Popular keywords:
Sucralose
Cefotiam
n-Heptane
Chloroform-d
Martin periodinane
Home
Products
Company Profile
Company Profile
Contact Us
Partners
News
Company News
Media News
Literature
Contact Us
Contact Us
Join Us
Bulk Inquiry
Account
Login
New user?
Register Now
Cart
Organic Compounds
Spirocyclic Compounds
Adamantane Compounds
Sulfur Pentafluoride
Inorganic compound
Inorganic Chemicals
Covalent compounds
Fluorinating Reagents
Fluoro reagents
Fluoromethyl Reagents
Difluoromethyl Reagents
Trifluoromethyl Reagents
Organometallic Reagents
Organoaluminum Reagents
Organogermanium Reagents
Organolithium Reagents
Organozinc Reagents
Organoselenium Reagents
Organocopper Reagents
Organic Stannane
Grignard Reagents
Fluorescent Dyes
Polyaromatic Hydrocarbons
Coumarins
BODIPYs
Cyanines
Xanthenes
Squaric Acids
Isotopes
Deuterated Compounds
Carbon-13
Oxygen18
Nitrogen15
Additive
Food additives
Inhibitors
Founctional materials
OLED
RareEarth Materials
Polymer Monomers
Acrylate Ester
Methacrylate Ester
Epoxy specialty resin monomer
BioPharm
Active Pharmaceutical Ingredients
Active Pharmaceutical Ingredients
Intermediates
Impurities
Genotoxic Impurities
Reference Listed Drug
Inhibitors
Agonists
Positive Control Substances
Amino Acids
Peptides
Agrichemicals
Insecticide
Fungicide
Herbicide
Biopesticide
Bulk Chemicals
N1-BOC-Piperizine
N1-BOC-Ethylenediamine
Natural Abstracts
Herbal Abstracts
Biological Extracts
Animal Extracts
Microbial Extracts
Organometallic Reagents
Home
Product Catalog
Covalent compounds
Organometallic Reagents
All
Fluorinating Reagents
Organometallic Reagents
Grignard Reagents
Fluorescent Dyes
Isotopes
Picture
Name and Description
Price/Pack Size
Show stock
KL-0105746-881
(2-allyloctyl)trimethylstannane
105746-88-1
C
1
4
H
3
0
Sn
317.1
Inquiry
Check stock
KL-0105746-927
(2-allyl-1-(phenylthio)octyl)trimethylstannane
105746-92-7
C
2
0
H
3
4
SSn
425.26
Inquiry
Check stock
KL-0105760-494
((6,6-dimethylbicyclo[3.1.1]hept-2-en-2-yl)methyl)trimethylstannane
105760-49-4
C
1
3
H
2
4
Sn
299.04
Inquiry
Check stock
KL-0105762-649
(E)-trimethyl((3-phenyl-1-(trimethylstannyl)prop-1-en-1-yl)oxy)silane
105762-64-9
C
1
5
H
2
6
OSiSn
369.16
Inquiry
Check stock
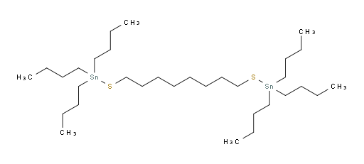
KL-0105783-980
5,5,12,12-tetrabutyl-6,11-dithia-5,12-distannahexadecane
105783-98-0
C
2
8
H
6
2
S
2
Sn
2
700.34
Inquiry
Check stock
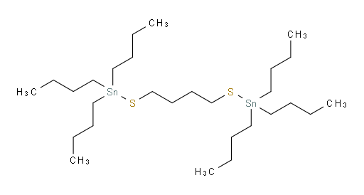
KL-0105784-018
5,5,15,15-tetrabutyl-6,14-dithia-5,15-distannanonadecane
105784-01-8
C
3
1
H
6
8
S
2
Sn
2
742.42
Inquiry
Check stock
KL-0105881-887
(Z)-trimethyl((3-phenyl-1-(trimethylstannyl)prop-1-en-1-yl)oxy)silane
105881-88-7
C
1
5
H
2
6
OSiSn
369.16
Inquiry
Check stock
KL-0105784-029
5,5,16,16-tetrabutyl-6,15-dithia-5,16-distannaicosane
105784-02-9
C
3
2
H
7
0
S
2
Sn
2
756.45
Inquiry
Check stock
KL-0105941-739
methyl (2-methyl-3-(tributylstannyl)propyl)carbamate
105941-73-9
C
1
8
H
3
9
NO
2
Sn
420.22
Inquiry
Check stock
KL-0105941-728
methyl (3-(tributylstannyl)propyl)carbamate
105941-72-8
C
1
7
H
3
7
NO
2
Sn
406.19
Inquiry
Check stock
KL-0105941-853
1-(3-(tributylstannyl)propyl)pyrrolidine
105941-85-3
C
1
9
H
4
1
NSn
402.25
Inquiry
Check stock
KL-0105950-296
(tributylstannyl)ytterbium(II) iodide
105950-29-6
C
1
2
H
2
7
ISnYb
590
Inquiry
Check stock
KL-0105941-864
tributyl(3-methoxypropyl)stannane
105941-86-4
C
1
6
H
3
6
OSn
363.17
Inquiry
Check stock
KL-0105996-687
tributyl((((4S)-3,3-dimethyl-4-((tetrahydro-2H-pyran-2-yl)oxy)cyclohex-1-en-1-yl)methoxy)methyl)stannane
105996-68-7
C
2
7
H
5
2
O
3
Sn
543.41
Inquiry
Check stock
KL-0106088-191
(E)-tributyl(4-ethoxy-5-phenylpent-3-en-2-yl)stannane
106088-19-1
C
2
5
H
4
4
OSn
479.33
Inquiry
Check stock
KL-0106088-204
(E)-tributyl(4-ethoxydodec-3-en-2-yl)stannane
106088-20-4
C
2
6
H
5
4
OSn
501.42
Inquiry
Check stock
KL-0105950-309
(tributylstannyl)europium(II) iodide
105950-30-9
C
1
2
H
2
7
EuISn
568.92
Inquiry
Check stock
KL-0106088-215
(E)-tributyl(2-ethoxy-1-phenylhept-2-en-4-yl)stannane
106088-21-5
C
2
7
H
4
8
OSn
507.38
Inquiry
Check stock
KL-0106088-226
(E)-tributyl(6-ethoxytetradec-5-en-4-yl)stannane
106088-22-6
C
2
8
H
5
8
OSn
529.47
Inquiry
Check stock
KL-0106088-237
(E)-tributyl(2-ethoxyhept-2-en-4-yl)stannane
106088-23-7
C
2
1
H
4
4
OSn
431.28
Inquiry
Check stock
378
379
380
381
382
383
384
385
386
387
Service
0
Cart
(0)
User
Favorites
Feedback
Top