Hello, welcome to
Shanghai Chemlin Biopharmaceutical Co., Ltd
language
Chinese
English
021-68080707
sales2@chemlin.com.cn
2851865938
Search
Structure
Popular keywords:
Sucralose
Cefotiam
n-Heptane
Chloroform-d
Martin periodinane
Home
Products
Company Profile
Company Profile
Contact Us
Partners
News
Company News
Media News
Literature
Contact Us
Contact Us
Join Us
Bulk Inquiry
Account
Login
New user?
Register Now
Cart
Organic Compounds
Spirocyclic Compounds
Adamantane Compounds
Sulfur Pentafluoride
Inorganic compound
Inorganic Chemicals
Covalent compounds
Fluorinating Reagents
Fluoro reagents
Fluoromethyl Reagents
Difluoromethyl Reagents
Trifluoromethyl Reagents
Organometallic Reagents
Organoaluminum Reagents
Organogermanium Reagents
Organolithium Reagents
Organozinc Reagents
Organoselenium Reagents
Organocopper Reagents
Organic Stannane
Grignard Reagents
Fluorescent Dyes
Polyaromatic Hydrocarbons
Coumarins
BODIPYs
Cyanines
Xanthenes
Squaric Acids
Isotopes
Deuterated Compounds
Carbon-13
Oxygen18
Nitrogen15
Additive
Food additives
Inhibitors
Founctional materials
OLED
RareEarth Materials
Polymer Monomers
Acrylate Ester
Methacrylate Ester
Epoxy specialty resin monomer
BioPharm
Active Pharmaceutical Ingredients
Active Pharmaceutical Ingredients
Intermediates
Impurities
Genotoxic Impurities
Reference Listed Drug
Inhibitors
Agonists
Positive Control Substances
Amino Acids
Peptides
Agrichemicals
Insecticide
Fungicide
Herbicide
Biopesticide
Bulk Chemicals
N1-BOC-Piperizine
N1-BOC-Ethylenediamine
Natural Abstracts
Herbal Abstracts
Biological Extracts
Animal Extracts
Microbial Extracts
Organometallic Reagents
Home
Product Catalog
Covalent compounds
Organometallic Reagents
All
Fluorinating Reagents
Organometallic Reagents
Grignard Reagents
Fluorescent Dyes
Isotopes
Picture
Name and Description
Price/Pack Size
Show stock
KL-0096689-462
((4R,5S)-5-ethyl-4-methylcyclopent-1-en-1-yl)trimethylstannane
96689-46-2
C
1
1
H
2
2
Sn
273
Inquiry
Check stock
KL-0096692-590
6-((tributylstannyl)thio)-9H-purine
96692-59-0
C
1
7
H
3
0
N
4
SSn
441.22
Inquiry
Check stock
KL-0096690-038
tributyl(2-iodoethoxy)stannane
96690-03-8
C
1
4
H
3
1
IOSn
461.01
Inquiry
Check stock
KL-0096810-194
trimethyl(4',5',6'-triphenyl-[1,1':2',1''-terphenyl]-3'-yl)stannane
96810-19-4
C
3
9
H
3
4
Sn
621.4
Inquiry
Check stock
KL-0096974-606
tributylstannyl 4'-vinyl-[1,1'-biphenyl]-4-carboxylate
96974-60-6
C
2
7
H
3
8
O
2
Sn
513.3
Inquiry
Check stock
KL-0096816-807
(E)-3-(tributylstannyl)acrylic acid
96816-80-7
C
1
5
H
3
0
O
2
Sn
361.11
Inquiry
Check stock
KL-0096829-833
tributyl(decylthio)stannane
96829-83-3
C
2
2
H
4
8
SSn
463.39
Inquiry
Check stock
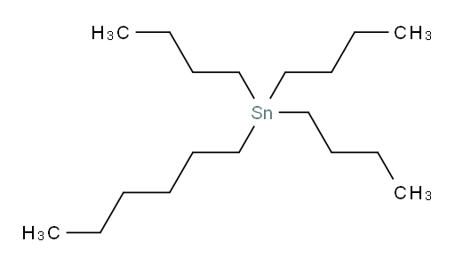
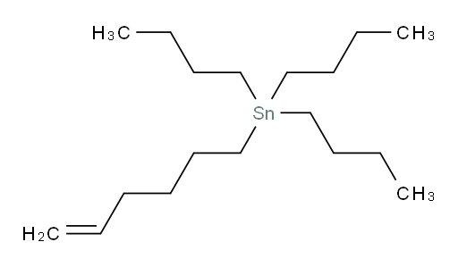
KL-0097014-396
tributyl(hex-5-en-1-yl)stannane
97014-39-6
C
1
8
H
3
8
Sn
373.2
Inquiry
Check stock
KL-0097002-181
2-(tributylstannyl)ethanethiol
97002-18-1
C
1
4
H
3
2
SSn
351.18
Inquiry
Check stock
KL-0097014-830
tributyl(2-isobutoxyethyl)stannane
97014-83-0
C
1
8
H
4
0
OSn
391.22
Inquiry
Check stock
KL-0097016-949
tributylstannyl 2-phenylpropanoate
97016-94-9
C
2
1
H
3
6
O
2
Sn
439.22
Inquiry
Check stock
KL-0097019-948
tributyl(isobutyl)stannane
97019-94-8
C
1
6
H
3
6
Sn
347.17
Inquiry
Check stock
KL-0097014-885
tributyl(hexyl)stannane
97014-88-5
C
1
8
H
4
0
Sn
375.22
Inquiry
Check stock
KL-0097042-483
1-(4-fluorophenyl)-4-(4-hydroxy-4-(4-(trimethylstannyl)phenyl)piperidin-1-yl)butan-1-one
97042-48-3
C
2
4
H
3
2
FNO
2
Sn
504.22
Inquiry
Check stock
KL-0097106-633
diphenyl(2-(trimethylstannyl)phenyl)phosphine oxide
97106-63-3
C
2
1
H
2
3
OPSn
441.09
Inquiry
Check stock
KL-0097106-622
tert-butyl(phenyl)(2-(trimethylstannyl)phenyl)phosphine
97106-62-2
C
1
9
H
2
7
PSn
405.1
Inquiry
Check stock
KL-0097106-611
diphenyl(2-(trimethylstannyl)phenyl)phosphine
97106-61-1
C
2
1
H
2
3
PSn
425.09
Inquiry
Check stock
KL-0097150-431
(2-(bicyclo[2.2.1]hept-5-en-2-yl)ethyl)trimethylstannane
97150-43-1
C
1
2
H
2
2
Sn
285.01
Inquiry
Check stock
KL-0097106-644
tert-butyl(phenyl)(2-(trimethylstannyl)phenyl)phosphine oxide
97106-64-4
C
1
9
H
2
7
OPSn
421.1
Inquiry
Check stock
KL-0097430-847
(3aS,4aS,6S,7S,7aS,7bS)-7-((Z)-6-chlorohex-2-en-1-yl)-2,2-dimethyl-6-((tributylstannyl)methyl)hexahydro-3aH-cyclopenta[4,5]furo[2,3-d][1,3]dioxole-6-carbonitrile
97430-84-7
C
3
0
H
5
2
ClNO
3
Sn
628.9
Inquiry
Check stock
434
435
436
437
438
439
440
441
442
443
Service
0
Cart
(0)
User
Favorites
Feedback
Top