Hello, welcome to
Shanghai Chemlin Biopharmaceutical Co., Ltd
language
Chinese
English
021-68080707
sales2@chemlin.com.cn
2851865938
Search
Structure
Popular keywords:
Sucralose
Cefotiam
n-Heptane
Chloroform-d
Martin periodinane
Home
Products
Company Profile
Company Profile
Contact Us
Partners
News
Company News
Media News
Literature
Contact Us
Contact Us
Join Us
Bulk Inquiry
Account
Login
New user?
Register Now
Cart
Organic Compounds
Spirocyclic Compounds
Adamantane Compounds
Sulfur Pentafluoride
Inorganic compound
Inorganic Chemicals
Covalent compounds
Fluorinating Reagents
Fluoro reagents
Fluoromethyl Reagents
Difluoromethyl Reagents
Trifluoromethyl Reagents
Organometallic Reagents
Organoaluminum Reagents
Organogermanium Reagents
Organolithium Reagents
Organozinc Reagents
Organoselenium Reagents
Organocopper Reagents
Organic Stannane
Grignard Reagents
Fluorescent Dyes
Polyaromatic Hydrocarbons
Coumarins
BODIPYs
Cyanines
Xanthenes
Squaric Acids
Isotopes
Deuterated Compounds
Carbon-13
Oxygen18
Nitrogen15
Additive
Food additives
Inhibitors
Founctional materials
OLED
RareEarth Materials
Polymer Monomers
Acrylate Ester
Methacrylate Ester
BioPharm
Active Pharmaceutical Ingredients
Active Pharmaceutical Ingredients
Intermediates
Impurities
Genotoxic Impurities
Reference Listed Drug
Inhibitors
Agonists
Positive Control Substances
Amino Acids
Peptides
Agrichemicals
Insecticide
Fungicide
Herbicide
Biopesticide
Bulk Chemicals
N1-BOC-Piperizine
N1-BOC-Ethylenediamine
Natural Abstracts
Herbal Abstracts
Biological Extracts
Animal Extracts
Microbial Extracts
Organometallic Reagents
Home
>
Product Catalog
>
Covalent compounds
>
Organometallic Reagents
All
Fluorinating Reagents
Organometallic Reagents
Grignard Reagents
Fluorescent Dyes
Isotopes
Picture
Name and Description
Price/Pack Size
Show stock
KL-0103533-513
(Z)-8-methyl-8-(4-methyl-3-(trimethylstannyl)pent-2-en-1-yl)-1,5-dioxaspiro[5.6]dodec-9-en-9-yl trifluoromethanesulfonate
103533-51-3
C
2
1
H
3
5
F
3
O
5
SSn
575.27
Inquiry
Check stock
KL-0103533-466
(3aR,6S)-1-isopropyl-3a,6-dimethyl-6-(4-(trimethylstannyl)pent-4-en-1-yl)-3a,4,6,7-tetrahydroazulen-5(3H)-one
103533-46-6
C
2
3
H
3
8
OSn
449.26
Inquiry
Check stock
KL-0103533-455
(3aR,6R)-1-isopropyl-3a-methyl-6-(4-(trimethylstannyl)pent-4-en-1-yl)-3a,4,6,7-tetrahydroazulen-5(3H)-one
103533-45-5
C
2
2
H
3
6
OSn
435.23
Inquiry
Check stock
KL-0103560-561
(E)-tributyl(1-ethoxybut-2-en-1-yl)stannane
103560-56-1
C
1
8
H
3
8
OSn
389.2
Inquiry
Check stock
KL-0103560-572
(Z)-tributyl(1-ethoxybut-2-en-1-yl)stannane
103560-57-2
C
1
8
H
3
8
OSn
389.2
Inquiry
Check stock
KL-0103670-413
(2-methylprop-1-ene-1,1-diyl)bis(trimethylstannane)
103670-41-3
C
1
0
H
2
4
Sn
2
381.72
Inquiry
Check stock
KL-0103596-696
trimethyl((phenylselanyl)methyl)stannane
103596-69-6
C
1
0
H
1
6
SeSn
333.9
Inquiry
Check stock
KL-0103596-685
trimethyl((methylselanyl)methyl)stannane
103596-68-5
C
5
H
1
4
SeSn
271.83
Inquiry
Check stock
KL-0103670-424
(2-methylbut-1-ene-1,1-diyl)bis(trimethylstannane)
103670-42-4
C
1
1
H
2
6
Sn
2
395.74
Inquiry
Check stock
KL-0103670-446
(3-methoxy-2-methylbut-1-ene-1,1-diyl)bis(trimethylstannane)
103670-44-6
C
1
2
H
2
8
OSn
2
425.77
Inquiry
Check stock
KL-0103670-457
(4-methoxy-2-methylbut-1-ene-1,1-diyl)bis(trimethylstannane)
103670-45-7
C
1
2
H
2
8
OSn
2
425.77
Inquiry
Check stock
KL-0103670-435
(3-ethoxy-2-methylprop-1-ene-1,1-diyl)bis(trimethylstannane)
103670-43-5
C
1
2
H
2
8
OSn
2
425.77
Inquiry
Check stock
KL-0103670-468
(2-phenylprop-1-ene-1,1-diyl)bis(trimethylstannane)
103670-46-8
C
1
5
H
2
6
Sn
2
443.79
Inquiry
Check stock
KL-0103670-491
(3-methoxy-2-(methoxymethyl)prop-1-ene-1,1-diyl)bis(trimethylstannane)
103670-49-1
C
1
2
H
2
8
O
2
Sn
2
441.77
Inquiry
Check stock
KL-0103670-504
(4-methoxy-2-(methoxymethyl)but-1-ene-1,1-diyl)bis(trimethylstannane)
103670-50-4
C
1
3
H
3
0
O
2
Sn
2
455.8
Inquiry
Check stock
KL-0103670-479
(3,3,3-trifluoro-2-phenylprop-1-ene-1,1-diyl)bis(trimethylstannane)
103670-47-9
C
1
5
H
2
3
F
3
Sn
2
497.76
Inquiry
Check stock
KL-0103670-480
(2,2-diphenylethene-1,1-diyl)bis(trimethylstannane)
103670-48-0
C
2
0
H
2
8
Sn
2
505.86
Inquiry
Check stock
KL-0103670-515
(cyclopentylidenemethylene)bis(trimethylstannane)
103670-51-5
C
1
2
H
2
6
Sn
2
407.75
Inquiry
Check stock
KL-0103670-628
(2-methylpropane-1,1,1-triyl)tris(trimethylstannane)
103670-62-8
C
1
3
H
3
4
Sn
3
546.54
Inquiry
Check stock
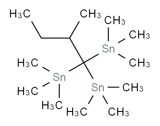
KL-0103670-639
(2-methylbutane-1,1,1-triyl)tris(trimethylstannane)
103670-63-9
C
1
4
H
3
6
Sn
3
560.57
Inquiry
Check stock
456
457
458
459
460
461
462
463
464
465
Service
0
Cart
(0)
User
Favorites
Feedback
Top