Hello, welcome to
Shanghai Chemlin Biopharmaceutical Co., Ltd
language
Chinese
English
021-68080707
sales2@chemlin.com.cn
2851865938
Search
Structure
Popular keywords:
Sucralose
Cefotiam
n-Heptane
Chloroform-d
Martin periodinane
Home
Products
Company Profile
Company Profile
Contact Us
Partners
News
Company News
Media News
Literature
Contact Us
Contact Us
Join Us
Bulk Inquiry
Account
Login
New user?
Register Now
Cart
Organic Compounds
Spirocyclic Compounds
Adamantane Compounds
Sulfur Pentafluoride
Inorganic compound
Inorganic Chemicals
Covalent compounds
Fluorinating Reagents
Fluoro reagents
Fluoromethyl Reagents
Difluoromethyl Reagents
Trifluoromethyl Reagents
Organometallic Reagents
Organoaluminum Reagents
Organogermanium Reagents
Organolithium Reagents
Organozinc Reagents
Organoselenium Reagents
Organocopper Reagents
Organic Stannane
Grignard Reagents
Fluorescent Dyes
Polyaromatic Hydrocarbons
Coumarins
BODIPYs
Cyanines
Xanthenes
Squaric Acids
Isotopes
Deuterated Compounds
Carbon-13
Oxygen18
Nitrogen15
Additive
Food additives
Inhibitors
Founctional materials
OLED
RareEarth Materials
Polymer Monomers
Acrylate Ester
Methacrylate Ester
BioPharm
Active Pharmaceutical Ingredients
Active Pharmaceutical Ingredients
Intermediates
Impurities
Genotoxic Impurities
Reference Listed Drug
Inhibitors
Agonists
Positive Control Substances
Amino Acids
Peptides
Agrichemicals
Insecticide
Fungicide
Herbicide
Biopesticide
Bulk Chemicals
N1-BOC-Piperizine
N1-BOC-Ethylenediamine
Natural Abstracts
Herbal Abstracts
Biological Extracts
Animal Extracts
Microbial Extracts
OLED
Home
>
Product Catalog
>
Founctional materials
>
OLED
All
OLED
RareEarth Materials
Polymer Monomers
Picture
Name and Description
Price/Pack Size
Show stock
KL-2757300-153
N4,N4'-diphenyl-N4,N4'-bis(4'-(pyrrolo[1,2-c]pyrimidin-6-yl)-[1,1'-biphenyl]-4-yl)-[1,1'-biphenyl]-4,4'-diamine
2757300-15-3
C
6
2
H
4
4
N
6
873.08
Inquiry
Check stock
KL-2757300-404
N4,N4'-diphenyl-N4,N4'-bis(4-(pyrrolo[1,2-b]pyridazin-6-yl)phenyl)-[1,1'-biphenyl]-4,4'-diamine
2757300-40-4
C
5
0
H
3
6
N
6
720.88
Inquiry
Check stock
KL-2641704-358
N4,N4'-bis(4-(adamantan-2-yl)naphthalen-1-yl)-N4,N4'-diphenyl-[1,1'-biphenyl]-4,4'-diamine
2641704-35-8
C
6
4
H
6
0
N
2
857.2
Inquiry
Check stock
KL-2641702-727
N4,N4'-bis(4-(adamantan-1-yl)naphthalen-1-yl)-N4,N4'-diphenyl-[1,1'-biphenyl]-4,4'-diamine
2641702-72-7
C
6
4
H
6
0
N
2
857.2
Inquiry
Check stock
KL-1800195-510
N4,N4'-diphenyl-N4,N4'-bis(3-phenylnaphthalen-2-yl)-[1,1'-biphenyl]-4,4'-diamine
1800195-51-0
C
5
6
H
4
0
N
2
740.95
Inquiry
Check stock
KL-1310675-901
N4,N4'-diphenyl-N4,N4'-bis(2,4,5-trifluorophenyl)-[1,1'-biphenyl]-4,4'-diamine
1310675-90-1
C
3
6
H
2
2
F
6
N
2
596.57
Inquiry
Check stock
KL-2419153-550
N4,N4'-diphenyl-N4,N4'-bis(1-phenylnaphthalen-2-yl)-[1,1'-biphenyl]-4,4'-diamine
2419153-55-0
C
5
6
H
4
0
N
2
740.95
Inquiry
Check stock
KL-2363186-643
N4-([1,1':3',1''-terphenyl]-5'-yl)-N4',N4'-diphenyl-N4-(5-phenyl-5H-benzo[b]carbazol-2-yl)-[1,1'-biphenyl]-4,4'-diamine
2363186-64-3
C
6
4
H
4
5
N
3
856.08
Inquiry
Check stock
KL-2363187-500
N4-([1,1':3',1''-terphenyl]-5'-yl)-N4,N4'-diphenyl-N4'-(11-phenyl-11H-benzo[a]carbazol-8-yl)-[1,1'-biphenyl]-4,4'-diamine
2363187-50-0
C
6
4
H
4
5
N
3
856.08
Inquiry
Check stock
KL-1318618-302
N4-(9,9'-spirobi[fluoren]-7-yl)-N4',N4'-diphenyl-N4-(6-phenylnaphthalen-2-yl)-[1,1'-biphenyl]-4,4'-diamine
1318618-30-2
C
6
5
H
4
4
N
2
853.08
Inquiry
Check stock
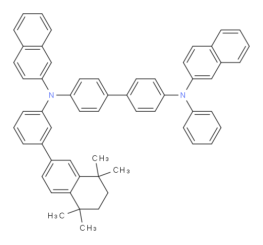
KL-2978169-923
N4,N4'-di(naphthalen-2-yl)-N4-phenyl-N4'-(3-(5,5,8,8-tetramethyl-5,6,7,8-tetrahydronaphthalen-2-yl)phenyl)-[1,1'-biphenyl]-4,4'-diamine
2978169-92-3
C
5
8
H
5
0
N
2
775.05
Inquiry
Check stock
KL-2978169-218
N4,N4'-di(naphthalen-2-yl)-N4-phenyl-N4'-(5,5,8,8-tetramethyl-5,6,7,8-tetrahydronaphthalen-1-yl)-[1,1'-biphenyl]-4,4'-diamine
2978169-21-8
C
5
2
H
4
6
N
2
698.95
Inquiry
Check stock
KL-2234326-226
N4,N4-di(naphthalen-2-yl)-N4'-phenyl-N4'-(10-phenyl-10H-phenanthro[9,10-b]carbazol-12-yl)-[1,1'-biphenyl]-4,4'-diamine
2234326-22-6
C
6
8
H
4
5
N
3
904.13
Inquiry
Check stock
KL-1210469-058
N4,N4'-diphenyl-N4-(11-phenyl-11H-benzo[a]carbazol-5-yl)-N4'-(9-phenyl-9H-carbazol-3-yl)-[1,1'-biphenyl]-4,4'-diamine
1210469-05-8
C
6
4
H
4
4
N
4
869.08
Inquiry
Check stock
KL-1427312-580
N4,N4-di(naphthalen-2-yl)-N4'-phenyl-N4'-(9-(pyridin-2-yl)-9H-carbazol-2-yl)-[1,1'-biphenyl]-4,4'-diamine
1427312-58-0
C
5
5
H
3
8
N
4
754.94
Inquiry
Check stock
KL-2419152-273
N4,N4'-di(phenanthren-9-yl)-N4,N4'-bis(4-phenylnaphthalen-2-yl)-[1,1'-biphenyl]-4,4'-diamine
2419152-27-3
C
7
2
H
4
8
N
2
941.19
Inquiry
Check stock
KL-0139255-202
N4,N4'-di(anthracen-9-yl)-N4,N4'-diphenyl-[1,1'-biphenyl]-4,4'-diamine
139255-20-2
C
5
2
H
3
6
N
2
688.87
Inquiry
Check stock
KL-2187458-086
N4,N4'-di(naphthalen-2-yl)-N4-(9-(naphthalen-2-yl)-9H-carbazol-3-yl)-N4'-(2-phenyl-2H-benzo[d][1,2,3]triazol-5-yl)-[1,1'-biphenyl]-4,4'-diamine
2187458-08-6
C
6
6
H
4
4
N
6
921.12
Inquiry
Check stock
KL-2956799-190
N4,N4'-di(naphthalen-2-yl)-N4,N4'-bis(2,2',3,3'-tetrahydro-1H,1'H-[4,4'-biinden]-7-yl)-[1,1'-biphenyl]-4,4'-diamine
2956799-19-0
C
6
8
H
5
6
N
2
901.21
Inquiry
Check stock
KL-2650533-096
N4,N4'-di(naphthalen-2-yl)-N4,N4'-bis(3-(2-phenylimidazo[1,2-a]pyridin-3-yl)phenyl)-[1,1'-biphenyl]-4,4'-diamine
2650533-09-6
C
7
0
H
4
8
N
6
973.2
Inquiry
Check stock
543
544
545
546
547
548
549
550
551
552
Service
0
Cart
(0)
User
Favorites
Feedback
Top