Hello, welcome to
Shanghai Chemlin Biopharmaceutical Co., Ltd
language
Chinese
English
021-68080707
sales2@chemlin.com.cn
2851865938
Search
Structure
Popular keywords:
Sucralose
Cefotiam
n-Heptane
Chloroform-d
Martin periodinane
Home
Products
Company Profile
Company Profile
Contact Us
Partners
News
Company News
Media News
Literature
Contact Us
Contact Us
Join Us
Bulk Inquiry
Account
Login
New user?
Register Now
Cart
Organic Compounds
Spirocyclic Compounds
Adamantane Compounds
Sulfur Pentafluoride
Inorganic compound
Inorganic Chemicals
Covalent compounds
Fluorinating Reagents
Fluoro reagents
Fluoromethyl Reagents
Difluoromethyl Reagents
Trifluoromethyl Reagents
Organometallic Reagents
Organoaluminum Reagents
Organogermanium Reagents
Organolithium Reagents
Organozinc Reagents
Organoselenium Reagents
Organocopper Reagents
Organic Stannane
Grignard Reagents
Fluorescent Dyes
Polyaromatic Hydrocarbons
Coumarins
BODIPYs
Cyanines
Xanthenes
Squaric Acids
Isotopes
Deuterated Compounds
Carbon-13
Oxygen18
Nitrogen15
Additive
Food additives
Inhibitors
Founctional materials
OLED
RareEarth Materials
Polymer Monomers
Acrylate Ester
Methacrylate Ester
BioPharm
Active Pharmaceutical Ingredients
Active Pharmaceutical Ingredients
Intermediates
Impurities
Genotoxic Impurities
Reference Listed Drug
Inhibitors
Agonists
Positive Control Substances
Amino Acids
Peptides
Agrichemicals
Insecticide
Fungicide
Herbicide
Biopesticide
Bulk Chemicals
N1-BOC-Piperizine
N1-BOC-Ethylenediamine
Natural Abstracts
Herbal Abstracts
Biological Extracts
Animal Extracts
Microbial Extracts
OLED
Home
>
Product Catalog
>
Founctional materials
>
OLED
All
OLED
RareEarth Materials
Polymer Monomers
Picture
Name and Description
Price/Pack Size
Show stock
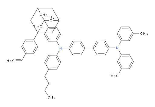
KL-1951510-329
N4-(4-butylphenyl)-N4',N4'-di-m-tolyl-N4-(4-(3-(4-vinylphenyl)adamantan-1-yl)phenyl)-[1,1'-biphenyl]-4,4'-diamine
1951510-32-9
C
6
0
H
6
0
N
2
809.15
Inquiry
Check stock
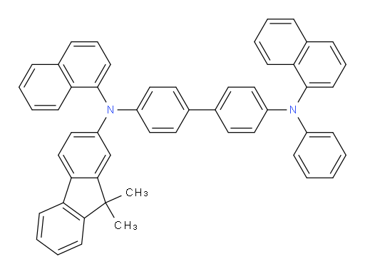
KL-1429932-320
N4-(9,9-dimethyl-9H-fluoren-2-yl)-N4,N4'-di(naphthalen-1-yl)-N4'-phenyl-[1,1'-biphenyl]-4,4'-diamine
1429932-32-0
C
5
3
H
4
0
N
2
704.92
Inquiry
Check stock
KL-2025329-239
N4-(4'-bromo-[1,1'-biphenyl]-4-yl)-N4'-(dibenzo[b,d]furan-4-yl)-N4-(9,9-dimethyl-7-vinyl-9H-fluoren-2-yl)-N4'-(naphthalen-1-yl)-[1,1'-biphenyl]-4,4'-diamine
2025329-23-9
C
6
3
H
4
5
BrN
2
O
925.97
Inquiry
Check stock
KL-2268699-494
N4-([1,1':3',1''-terphenyl]-5'-yl)-N4'-(4,4-dimethyl-4H-cyclopenta[def]phenanthren-8-yl)-N4-phenyl-N4'-(9-phenyl-9H-carbazol-2-yl)-[1,1'-biphenyl]-4,4'-diamine
2268699-49-4
C
7
1
H
5
1
N
3
946.21
Inquiry
Check stock
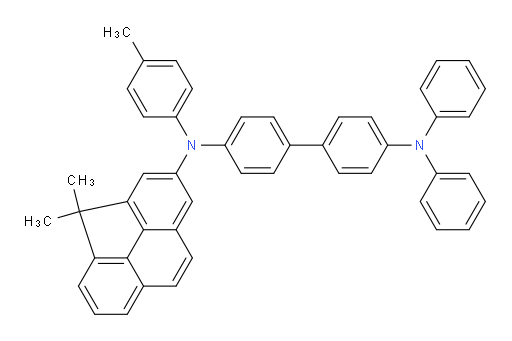
KL-2260794-849
N4-(4,4-dimethyl-4H-cyclopenta[def]phenanthren-2-yl)-N4',N4'-bis(9,9-dimethyl-9H-fluoren-2-yl)-N4-phenyl-[1,1'-biphenyl]-4,4'-diamine
2260794-84-9
C
6
5
H
5
2
N
2
861.14
Inquiry
Check stock
KL-1571789-393
N4-(4,4-dimethyl-4H-cyclopenta[def]phenanthren-2-yl)-N4',N4'-diphenyl-N4-(p-tolyl)-[1,1'-biphenyl]-4,4'-diamine
1571789-39-3
C
4
8
H
3
8
N
2
642.85
Inquiry
Check stock
KL-2268699-609
N4-(4,4-dimethyl-4H-cyclopenta[def]phenanthren-8-yl)-N4',N4'-bis(4-isopropylphenyl)-N4-(9-phenyl-9H-carbazol-2-yl)-[1,1'-biphenyl]-4,4'-diamine
2268699-60-9
C
6
5
H
5
5
N
3
878.18
Inquiry
Check stock
KL-2115835-533
N4-(4-aminophenyl)-N4'-(9,9-dimethyl-9H-fluoren-2-yl)-N4,N4'-bis(4-(((1,2,2-trifluorovinyl)oxy)methyl)phenyl)-[1,1'-biphenyl]-4,4'-diamine
2115835-53-3
C
5
1
H
3
9
F
6
N
3
O
2
839.88
Inquiry
Check stock
KL-2533344-668
N4-(9,9'-spirobi[fluoren]-7-yl)-N4'-(4'-(bicyclo[2.2.1]heptan-7-yl)-[1,1'-biphenyl]-2-yl)-N4,N4'-diphenyl-[1,1'-biphenyl]-4,4'-diamine
2533344-66-8
C
6
8
H
5
2
N
2
897.18
Inquiry
Check stock
KL-1241922-702
N4,N4-di([1,1'-biphenyl]-4-yl)-N4'-(4'-(bicyclo[2.2.1]hept-5-en-2-yl)-[1,1'-biphenyl]-4-yl)-N4'-(4-(naphthalen-1-yl)phenyl)-[1,1'-biphenyl]-4,4'-diamine
1241922-70-2
C
7
1
H
5
4
N
2
935.23
Inquiry
Check stock
KL-0666176-176
N4-(4'-bromo-[1,1'-biphenyl]-4-yl)-N4,N4'-bis(2,4-dimethylphenyl)-N4'-(p-tolyl)-[1,1'-biphenyl]-4,4'-diamine
666176-17-6
C
4
7
H
4
1
BrN
2
713.76
Inquiry
Check stock
KL-0154873-140
N4-(4-aminophenyl)-N4,N4',N4'-tri-p-tolyl-[1,1'-biphenyl]-4,4'-diamine
154873-14-0
C
3
9
H
3
5
N
3
545.73
Inquiry
Check stock
KL-0180741-600
N4-(2-methoxy-4-methylphenyl)-N4,N4'-diphenyl-N4'-(5,6,7,8-tetrahydronaphthalen-1-yl)-[1,1'-biphenyl]-4,4'-diamine
180741-60-0
C
4
2
H
3
8
N
2
O
586.78
Inquiry
Check stock
KL-0188192-656
(E)-N4-(3-methoxy-4-(2-(pyren-1-yl)vinyl)phenyl)-N4'-(3-methoxyphenyl)-N4,N4'-diphenyl-[1,1'-biphenyl]-4,4'-diamine
188192-65-6
C
5
6
H
4
2
N
2
O
2
774.96
Inquiry
Check stock
KL-3027433-764
N4-(2,6-dimethylphenyl)-N4'-(9-methyl-9-phenyl-9H-fluoren-2-yl)-N4,N4'-diphenyl-[1,1'-biphenyl]-4,4'-diamine
3027433-76-4
C
5
2
H
4
2
N
2
694.92
Inquiry
Check stock
KL-0204327-026
N4-(3-chlorophenyl)-N4'-(4'-((3-chlorophenyl)(phenyl)amino)-[1,1'-biphenyl]-4-yl)-N4-phenyl-N4'-(p-tolyl)-[1,1'-biphenyl]-4,4'-diamine
204327-02-6
C
5
5
H
4
1
Cl
2
N
3
814.85
Inquiry
Check stock
KL-1246667-855
N4-(4-(pent-4-en-1-yloxy)phenyl)-N4,N4'-diphenyl-N4'-(m-tolyl)-[1,1'-biphenyl]-4,4'-diamine
1246667-85-5
C
4
2
H
3
8
N
2
O
586.78
Inquiry
Check stock
KL-1449579-310
N4-(2-methyl-4-propylphenyl)-N4,N4'-di(naphthalen-2-yl)-N4'-(4-propylphenyl)-[1,1'-biphenyl]-4,4'-diamine
1449579-31-0
C
5
1
H
4
6
N
2
686.94
Inquiry
Check stock
KL-0204326-943
N4,N4'-diphenyl-N4-(4'-(phenyl(m-tolyl)amino)-[1,1'-biphenyl]-4-yl)-N4'-(m-tolyl)-[1,1'-biphenyl]-4,4'-diamine
204326-94-3
C
5
6
H
4
5
N
3
760
Inquiry
Check stock
KL-1203713-318
N4,N4'-di(naphthalen-1-yl)-N4-(3-vinylphenyl)-N4'-(4-vinylphenyl)-[1,1'-biphenyl]-4,4'-diamine
1203713-31-8
C
4
8
H
3
6
N
2
640.83
Inquiry
Check stock
577
578
579
580
581
582
583
584
585
586
Service
0
Cart
(0)
User
Favorites
Feedback
Top