Hello, welcome to
Shanghai Chemlin Biopharmaceutical Co., Ltd
language
Chinese
English
021-68080707
sales2@chemlin.com.cn
2851865938
Search
Structure
Popular keywords:
Sucralose
Cefotiam
n-Heptane
Chloroform-d
Martin periodinane
Home
Products
Company Profile
Company Profile
Contact Us
Partners
News
Company News
Media News
Literature
Contact Us
Contact Us
Join Us
Bulk Inquiry
Account
Login
New user?
Register Now
Cart
Organic Compounds
Spirocyclic Compounds
Adamantane Compounds
Sulfur Pentafluoride
Inorganic compound
Inorganic Chemicals
Covalent compounds
Fluorinating Reagents
Fluoro reagents
Fluoromethyl Reagents
Difluoromethyl Reagents
Trifluoromethyl Reagents
Organometallic Reagents
Organoaluminum Reagents
Organogermanium Reagents
Organolithium Reagents
Organozinc Reagents
Organoselenium Reagents
Organocopper Reagents
Organic Stannane
Grignard Reagents
Fluorescent Dyes
Polyaromatic Hydrocarbons
Coumarins
BODIPYs
Cyanines
Xanthenes
Squaric Acids
Isotopes
Deuterated Compounds
Carbon-13
Oxygen18
Nitrogen15
Additive
Food additives
Inhibitors
Founctional materials
OLED
RareEarth Materials
Polymer Monomers
Acrylate Ester
Methacrylate Ester
BioPharm
Active Pharmaceutical Ingredients
Active Pharmaceutical Ingredients
Intermediates
Impurities
Genotoxic Impurities
Reference Listed Drug
Inhibitors
Agonists
Positive Control Substances
Amino Acids
Peptides
Agrichemicals
Insecticide
Fungicide
Herbicide
Biopesticide
Bulk Chemicals
N1-BOC-Piperizine
N1-BOC-Ethylenediamine
Natural Abstracts
Herbal Abstracts
Biological Extracts
Animal Extracts
Microbial Extracts
OLED
Home
>
Product Catalog
>
Founctional materials
>
OLED
All
OLED
RareEarth Materials
Polymer Monomers
Picture
Name and Description
Price/Pack Size
Show stock
KL-2716199-403
N4-(2-(9H-carbazol-9-yl)-[1,1'-biphenyl]-4-yl)-N4'-([1,1':2',1''-terphenyl]-4'-yl)-N4-(naphthalen-1-yl)-N4'-phenyl-[1,1'-biphenyl]-4,4'-diamine
2716199-40-3
C
7
0
H
4
9
N
3
932.18
Inquiry
Check stock
KL-2291346-546
N4-(9-([1,1'-biphenyl]-3-yl)-9H-dibenzo[a,c]carbazol-11-yl)-N4,N4',N4'-triphenyl-[1,1'-biphenyl]-4,4'-diamine
2291346-54-6
C
6
2
H
4
3
N
3
830.05
Inquiry
Check stock
KL-2291346-626
N4-(9-([1,1'-biphenyl]-4-yl)-9H-dibenzo[a,c]carbazol-11-yl)-N4,N4',N4'-triphenyl-[1,1'-biphenyl]-4,4'-diamine
2291346-62-6
C
6
2
H
4
3
N
3
830.05
Inquiry
Check stock
KL-3086357-298
N4-(9,9-dimethyl-9H-fluoren-2-yl)-N4',N4'-diphenyl-N4-(triphenyleno[2,3-b]benzofuran-13-yl)-[1,1'-biphenyl]-4,4'-diamine
3086357-29-8
C
6
3
H
4
4
N
2
O
845.06
Inquiry
Check stock
KL-3094653-434
N4-(9,9-dimethyl-9H-fluoren-2-yl)-N4,N4'-diphenyl-N4'-(triphenyleno[2,3-b]benzofuran-11-yl)-[1,1'-biphenyl]-4,4'-diamine
3094653-43-4
C
6
3
H
4
4
N
2
O
845.06
Inquiry
Check stock
KL-2291347-254
N4-(7,12-di(pyrimidin-5-yl)-7,12-dihydrobenzo[de]indolo[3,2-b]quinolin-9-yl)-N4,N4',N4'-triphenyl-[1,1'-biphenyl]-4,4'-diamine
2291347-25-4
C
5
6
H
3
8
N
8
822.98
Inquiry
Check stock
KL-2716198-295
N4-(2-(9H-carbazol-9-yl)-[1,1':4',1''-terphenyl]-4-yl)-N4-([1,1'-biphenyl]-4-yl)-N4'-(4-(tert-butyl)phenyl)-N4'-(naphthalen-2-yl)-[1,1'-biphenyl]-4,4'-diamine
2716198-29-5
C
7
4
H
5
7
N
3
988.29
Inquiry
Check stock
KL-0228706-749
N2-(4'-(diphenylamino)-[1,1'-biphenyl]-4-yl)-N2-(4-(diphenylamino)phenyl)-N7-(3-methoxyphenyl)-9,9-dimethyl-N7-phenyl-9H-fluorene-2,7-diamine
228706-74-9
C
7
0
H
5
6
N
4
O
969.24
Inquiry
Check stock
KL-0228706-705
N2-(4'-(diphenylamino)-[1,1'-biphenyl]-4-yl)-N2-(4-(diphenylamino)phenyl)-9,9-dimethyl-N7,N7-di-p-tolyl-9H-fluorene-2,7-diamine
228706-70-5
C
7
1
H
5
8
N
4
967.27
Inquiry
Check stock
KL-2268861-658
N2-(9,9-dimethyl-9H-fluoren-2-yl)-N6-(4'-(diphenylamino)-[1,1'-biphenyl]-4-yl)-N2-isopropyl-9,9-dimethyl-N6-(4-methyl-4H-benzo[def]carbazol-2-yl)-9H-fluorene-2,6-diamine
2268861-65-8
C
7
2
H
6
0
N
4
981.3
Inquiry
Check stock
KL-0238422-850
N2-(9,9-dimethyl-9H-fluoren-2-yl)-N6,N6-diphenyl-N2-(4'-(phenyl(m-tolyl)amino)-[1,1'-biphenyl]-4-yl)naphthalene-2,6-diamine
238422-85-0
C
6
2
H
4
9
N
3
836.09
Inquiry
Check stock
KL-0227314-536
N1-(4'-(naphthalen-1-yl(phenyl)amino)-[1,1'-biphenyl]-4-yl)-N1,N4,N4-triphenylnaphthalene-1,4-diamine
227314-53-6
C
5
6
H
4
1
N
3
755.96
Inquiry
Check stock
KL-3094653-070
N4,N4,N4'-triphenyl-N4'-(triphenyleno[2,3-b]benzofuran-14-yl)-[1,1'-biphenyl]-4,4'-diamine
3094653-07-0
C
5
4
H
3
6
N
2
O
728.89
Inquiry
Check stock
KL-2764792-472
N4-([1,1':4',1''-terphenyl]-4-yl)-N4',N4'-diphenyl-N4-(4-(quinolin-7-yl)phenyl)-[1,1'-biphenyl]-4,4'-diamine
2764792-47-2
C
5
7
H
4
1
N
3
767.98
Inquiry
Check stock
KL-2722641-258
N4-([1,1'-binaphthalen]-4-yl)-N4'-([1,1':2',1''-terphenyl]-4'-yl)-N4,N4'-di(naphthalen-1-yl)-[1,1'-biphenyl]-4,4'-diamine
2722641-25-8
C
7
0
H
4
8
N
2
917.17
Inquiry
Check stock
KL-3075704-434
N4-([1,1':4',1''-terphenyl]-3-yl)-N4'-(4-(benzo[d]oxazol-2-yl)phenyl)-N4-(4-(benzo[d]thiazol-2-yl)phenyl)-N4'-phenyl-[1,1'-biphenyl]-4,4'-diamine
3075704-43-4
C
6
2
H
4
2
N
4
OS
891.1
Inquiry
Check stock
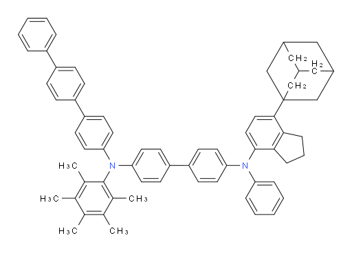
KL-3077504-889
N4-([1,1':4',1''-terphenyl]-4-yl)-N4'-(7-(adamantan-1-yl)-2,3-dihydro-1H-inden-4-yl)-N4-(2,3,4,5,6-pentamethylphenyl)-N4'-phenyl-[1,1'-biphenyl]-4,4'-diamine
3077504-88-9
C
6
6
H
6
4
N
2
885.25
Inquiry
Check stock
KL-2755839-199
N4-([1,1':4',1''-terphenyl]-4-yl)-N4-(naphtho[2,1-b]benzofuran-9-yl)-N4',N4'-diphenyl-[1,1'-biphenyl]-4,4'-diamine
2755839-19-9
C
5
8
H
4
0
N
2
O
780.97
Inquiry
Check stock
KL-2755838-798
N4-([1,1':4',1''-terphenyl]-4-yl)-N4'-(naphtho[2,3-b]benzofuran-3-yl)-N4,N4'-diphenyl-[1,1'-biphenyl]-4,4'-diamine
2755838-79-8
C
5
8
H
4
0
N
2
O
780.97
Inquiry
Check stock
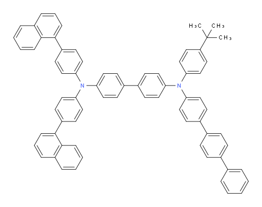
KL-2947420-473
N4-([1,1':4',1''-terphenyl]-4-yl)-N4-(4-(tert-butyl)phenyl)-N4',N4'-bis(4-(naphthalen-1-yl)phenyl)-[1,1'-biphenyl]-4,4'-diamine
2947420-47-3
C
7
2
H
5
6
N
2
949.25
Inquiry
Check stock
623
624
625
626
627
628
629
630
631
632
Service
0
Cart
(0)
User
Favorites
Feedback
Top